时隔仅几个月,美股又发生规模庞大的逼空事件。这一次,舞台的真正主角换成AMC院线,短短5个月涨了28倍。
發仔留意到一则报道,有人用13000美金买AMC院线的看涨期权,一下子赚了82万美金!
太眼馋了,我们要不要追买几张看涨期权合约呢?
不急!發仔今天给大家科普一下波动率。
期权定价中的未知因素:波动率(Volatility)
让我们回忆一下,期权价格(即权利金)等于内在价值加上时间价值,而期权价格取决于多个因素~
在给期权定价时,波动率(Volatility)是最重要的因素之一,时间价值中的一部分取决于标的股票的波动率。
最基本的解释是,波动率代表着波动,也就是在一定时间内标的股票变动多少。根据变动情况,我们可以计算出股票在过去时间里的波动程度。
如何感受波动率与期权价格的关系呢?一般而言,波动率越大,期权价格越贵。
發仔简单举个例子。假如你是保险商,向渔民售卖保险,若大海风平浪静,保险金的定价会较低;若大海波动不定,保险金的定价肯定就较高了。
波动率就是那个难以捉摸的因素,它导致交易者在正确预测了股票价格走势和时机的情况下仍会赔钱。
为什么呢?对于买方来说,无非就是期权买贵了。受波动率影响,尽管股票价格上涨,但还是可能由于为已经爆炒的期权付出了太多的权利金而导致亏损出局。
波动率的主要类型有四种,分别是:历史波动率,隐含波动率,实际波动率和预测波动率。
下面我们重点介绍历史波动率和隐含波动率。
历史波动率(Historical Volatility,HV)
历史波动率(Historical Volatility,HV)是通过标的股价在过去一段时间的波动幅度计算出来的。
所以,历史波动率只是反映标的物价格过去的波动,但价格波动难以预测,利用历史波动率对价格进行预测一般都不能保证准确,只能做参考。
举个例子,深圳市一到6、7月份就容易下雨,發仔出门的时候看见天空有乌云,于是带伞出门。一天过去了,结果没有下雨。
深圳的6、7月份是雨季,就是基于过去历史数据得到的。在股票市场上历史波动率就是基于历史股票的价格进行运算出来的。
隐含波动率(Implied Volatility,IV)
隐含波动率(Implied Volatility,IV)是衡量标的波动率数值,反映市场认为标的股票在未来的价格波动幅度。
它并不容易理解,如果第一次没有理解也不要担心,發仔也不是一开始就明白的。
与历史波动率不一样,隐含波动率更像是实时的指示器,表明市场现在愿意为期权支付多少钱。
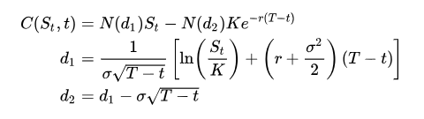
而期权值多少钱,就涉及到一套期权理论定价公式,即Black-Scholes模型。

来源:网络
我们把期权价格代入到Black-Scholes模型,就能反推出来隐含波动率。
公式之中,除了隐含波动率σ以外,其它参数都是确定的和很容易得到的。
N(·)是标准正态分布的密度函数,T-t 是到期时间,S 是标的股票现价,K 是行权价,r是无风险利率。
当然,虽然公式很复杂,但现在完全可以用电脑计算。
那么影响隐含波动率的因素主要是哪些呢?最主要是还是股票的供给和需求,如果股票需求很高,隐含波动率也会随之升高,从而导致权利金变大。
如果股票需求很小,隐含波动率会下降,权利金也会随之降低。
交易员是如何付出超额权利金的
那么,回到文章开头的提问,现在追买AMC院线的看涨期权可行吗?
首先,我们打开AMC院线的期权链,合约到期日为7月9日。

来源:华盛资讯
很明显,AMC院线7月9日的看涨和看跌期权都有很极端的隐含波动率,数值为300%附近的水平。这就告诉你到期前,期权定价中蕴含了巨幅波动,无所谓上涨还是下跌。
而根据历史情况来看,不高于150%的隐含波动率更为合理,而300%的隐含波动率是相当高的。

图片来源:marketchameleon
表中所采用的隐含波动率是AMC院线30天平值期权隐含波动率(IV30)。
统计数据显示,过去一年的时间里,AMC院线的IV30平均值为128.8,最低值为39.6,最高值为400。
因此,此时无论是押注AMC的看涨期权、看跌期权,我们都可能是买贵了。
结语
發仔最后敲个重点,作为期权买方,必须认真考虑波动率,尽量不要买贵了呀!
但在实际交易的过程中,發仔看见很多人重仓买入交易网红股的期权,即使交易软件显示隐含波动率很高了。最终结果往往是,白白蒙受损失。
期权交易是一门实战策略的学问,了解期权的定价模型可以让我们具备很大的优势,因此隐含波动率是我们应该继续花时间去学习的。
想要了解更多期权相关知识或者对期权知识有疑问的,欢迎锁定华盛课堂或评论留言哦~
相关课程:
风险及免责提示:以上内容仅代表作者的个人立场和观点,不代表华盛的任何立场,华盛亦无法证实上述内容的真实性、准确性和原创性。投资者在做出任何投资决定前,应结合自身情况,考虑投资产品的风险。必要时,请咨询专业投资顾问的意见。华盛不提供任何投资建议,对此亦不做任何承诺和保证。